Официальное опубликование правовых актов
ОФИЦИАЛЬНОЕ ОПУБЛИКОВАНИЕ
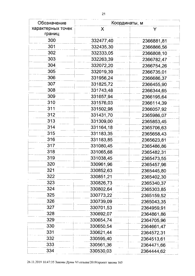
Закон Курганской области от 27.11.2019 № 165
"Об установлении границ муниципального образования Круглянского сельсовета Звериноголовского района Курганской области"
Номер опубликования: 4500201911290004
Дата опубликования: 29.11.2019
Страница №21 из 29:
Увеличить