Официальное опубликование правовых актов
ОФИЦИАЛЬНОЕ ОПУБЛИКОВАНИЕ
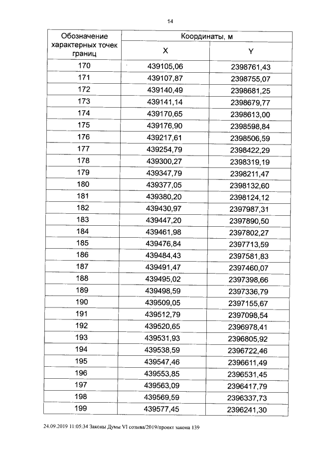
Закон Курганской области от 26.09.2019 № 143
"Об установлении границ муниципального образования Колташевского сельсовета Кетовского района Курганской области"
Номер опубликования: 4500201909300009
Дата опубликования: 30.09.2019
Страница №14 из 23:
Увеличить