Официальное опубликование правовых актов
ОФИЦИАЛЬНОЕ ОПУБЛИКОВАНИЕ
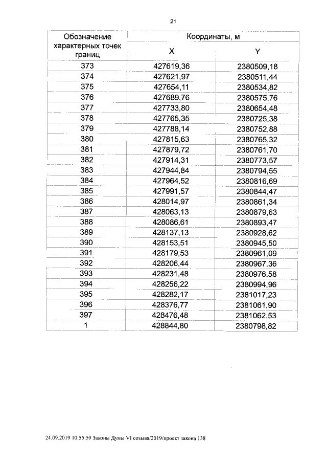
Закон Курганской области от 26.09.2019 № 141
"Об установлении границ муниципального образования Кетовского сельсовета Кетовского района Курганской области"
Номер опубликования: 4500201909300006
Дата опубликования: 30.09.2019
Страница №21 из 21:
Увеличить