Закон Курганской области от 27.06.2019 № 110
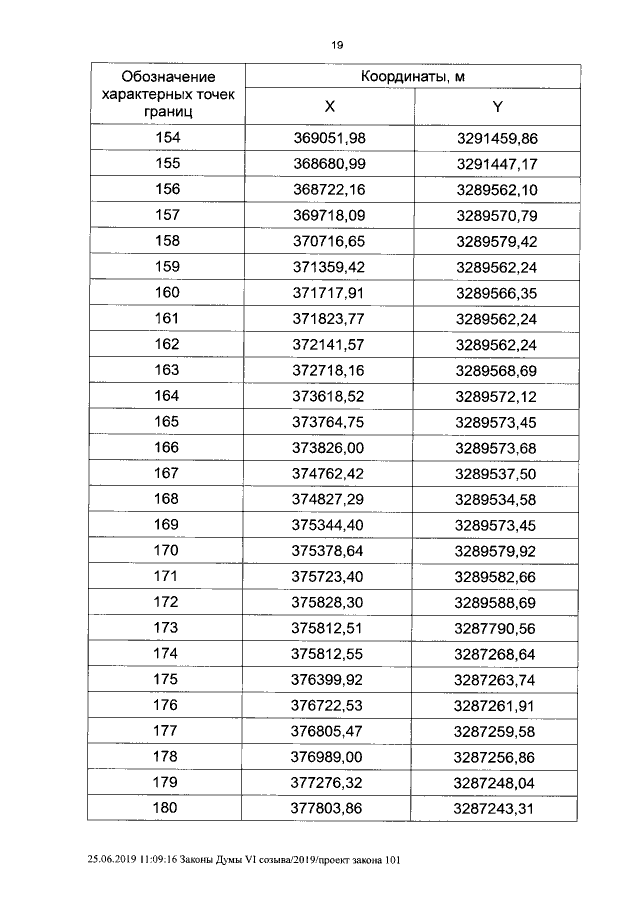
"Об установлении границ муниципального образования Куреинского сельсовета Макушинского района Курганской области"
"Об установлении границ муниципального образования Куреинского сельсовета Макушинского района Курганской области"
Номер опубликования: 4500201907020027
Дата опубликования:
02.07.2019
