Официальное опубликование правовых актов
ОФИЦИАЛЬНОЕ ОПУБЛИКОВАНИЕ
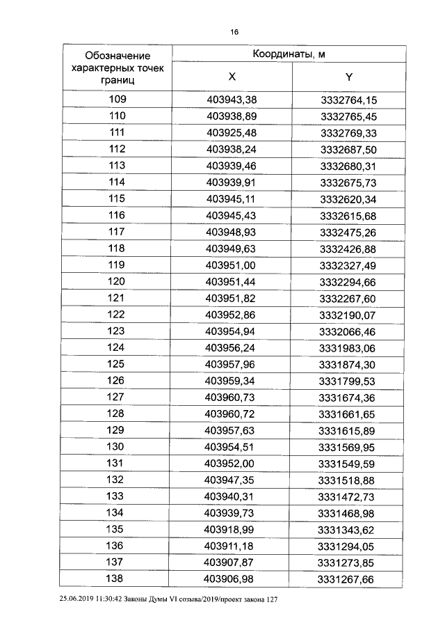
Закон Курганской области от 27.06.2019 № 118
"Об установлении границ муниципального образования Пионерского сельсовета Макушинского района Курганской области"
Номер опубликования: 4500201907020025
Дата опубликования: 02.07.2019
Страница №16 из 25:
Увеличить