Официальное опубликование правовых актов
ОФИЦИАЛЬНОЕ ОПУБЛИКОВАНИЕ
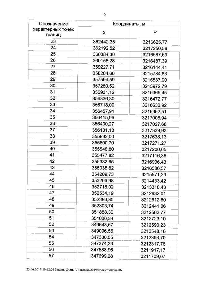
Закон Курганской области от 27.06.2019 № 101
"Об установлении границ муниципального образования Пищальского сельсовета Половинского района Курганской области"
Номер опубликования: 4500201907020022
Дата опубликования: 02.07.2019
Страница №9 из 12:
Увеличить