Официальное опубликование правовых актов
ОФИЦИАЛЬНОЕ ОПУБЛИКОВАНИЕ
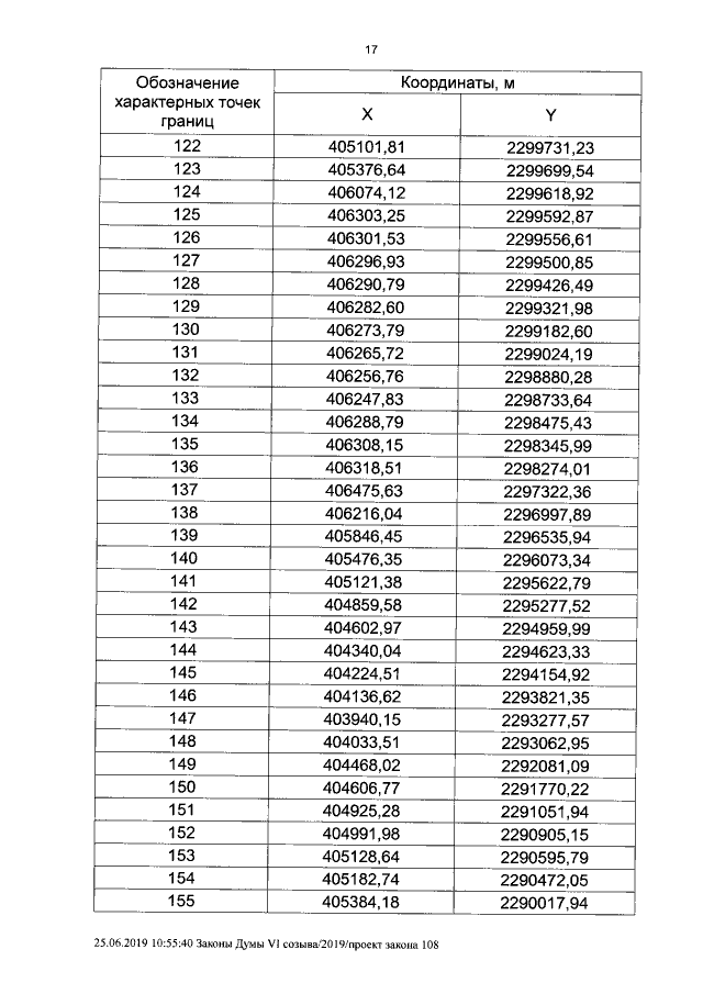
Закон Курганской области от 27.06.2019 № 106
"Об установлении границ муниципального образования Краснознаменского сельсовета Мишкинского района Курганской области"
Номер опубликования: 4500201907020016
Дата опубликования: 02.07.2019
Страница №17 из 19:
Увеличить