Официальное опубликование правовых актов
ОФИЦИАЛЬНОЕ ОПУБЛИКОВАНИЕ
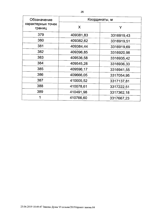
Закон Курганской области от 27.06.2019 № 104
"Об установлении границ муниципального образования Садоводского сельсовета Макушинского района Курганской области"
Номер опубликования: 4500201907020015
Дата опубликования: 02.07.2019
Страница №26 из 26:
Увеличить