Официальное опубликование правовых актов
ОФИЦИАЛЬНОЕ ОПУБЛИКОВАНИЕ
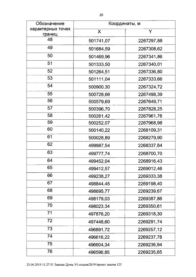
Закон Курганской области от 27.06.2019 № 117
"Об установлении границ муниципального образования Краснозвездинского сельсовета Шадринского района Курганской области"
Номер опубликования: 4500201907020008
Дата опубликования: 02.07.2019
Страница №20 из 27:
Увеличить