Официальное опубликование правовых актов
ОФИЦИАЛЬНОЕ ОПУБЛИКОВАНИЕ
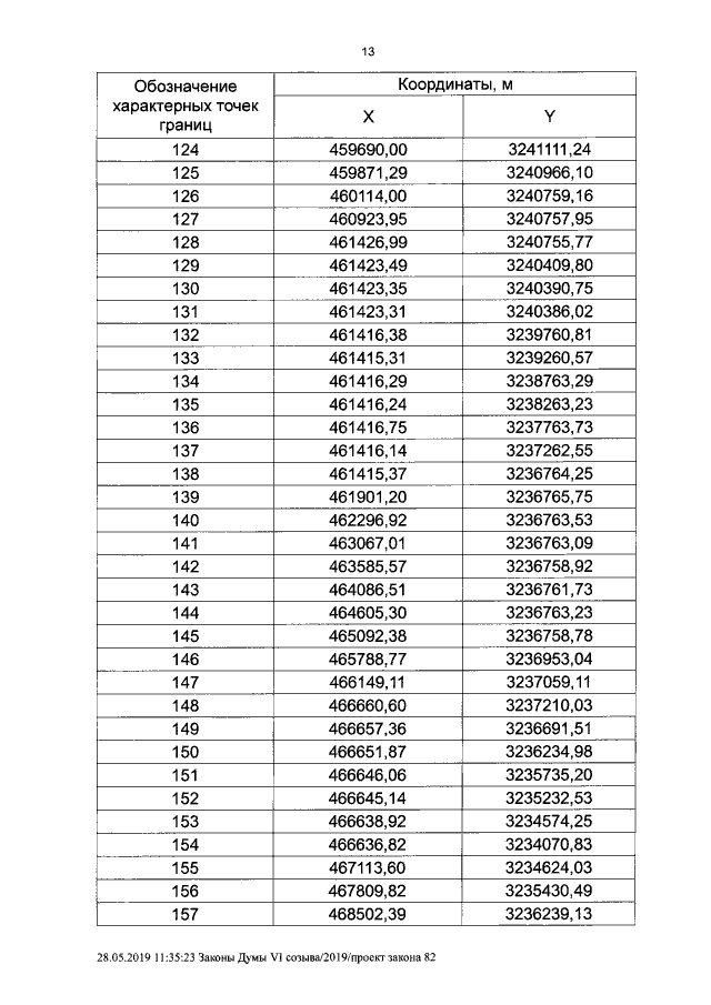
Закон Курганской области от 30.05.2019 № 86
"Об установлении границ муниципального образования Мостовского сельсовета Варгашинского района Курганской области"
Номер опубликования: 4500201906030009
Дата опубликования: 03.06.2019
Страница №13 из 14:
Увеличить