Официальное опубликование правовых актов
ОФИЦИАЛЬНОЕ ОПУБЛИКОВАНИЕ
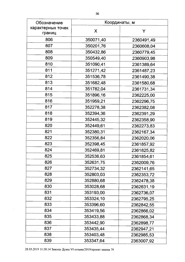
Закон Курганской области от 30.05.2019 № 87
"Об установлении границ муниципального образования Притобольного района Курганской области"
Номер опубликования: 4500201906030006
Дата опубликования: 03.06.2019
Страница №36 из 62:
Увеличить