Официальное опубликование правовых актов
ОФИЦИАЛЬНОЕ ОПУБЛИКОВАНИЕ
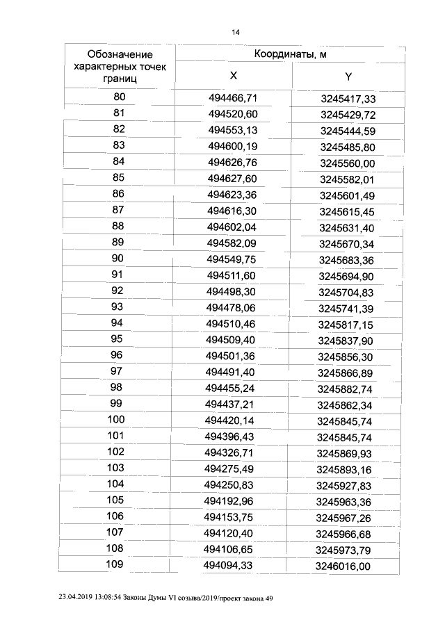
Закон Курганской области от 29.04.2019 № 55
"Об установлении границ муниципального образования Просековского сельсовета Варгашинского района Курганской области"
Номер опубликования: 4500201905060029
Дата опубликования: 06.05.2019
Страница №14 из 20:
Увеличить