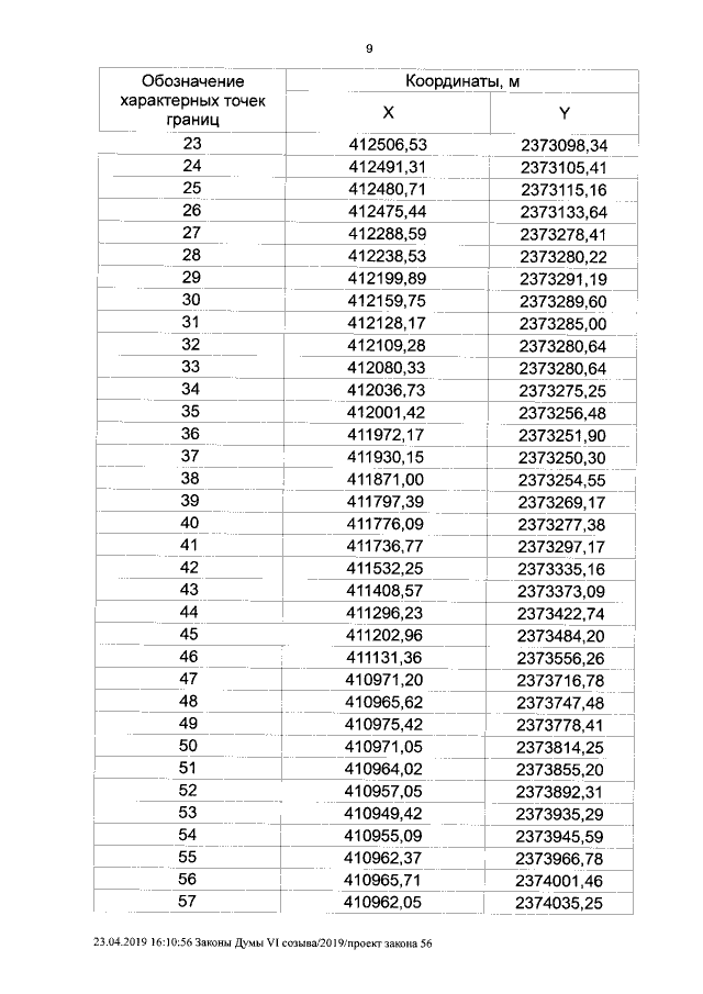
Закон Курганской области от 29.04.2019 № 61
"Об установлении границ муниципального образования Нагорского сельсовета Притобольного района Курганской области"
"Об установлении границ муниципального образования Нагорского сельсовета Притобольного района Курганской области"
Номер опубликования: 4500201905060012
Дата опубликования:
06.05.2019
