Официальное опубликование правовых актов
ОФИЦИАЛЬНОЕ ОПУБЛИКОВАНИЕ
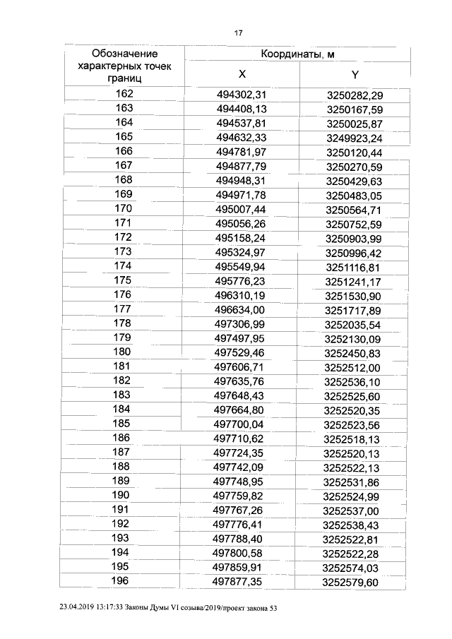
Закон Курганской области от 29.04.2019 № 57
"Об установлении границ муниципального образования Терпуговского сельсовета Варгашинского района Курганской области"
Номер опубликования: 4500201905060008
Дата опубликования: 06.05.2019
Страница №17 из 19:
Увеличить