Официальное опубликование правовых актов
ОФИЦИАЛЬНОЕ ОПУБЛИКОВАНИЕ
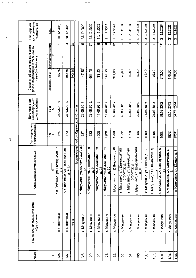
Постановление Правительства Курганской области от 01.04.2019 № 82
"Об утверждении Региональной адресной программы по переселению граждан из аварийного жилищного фонда Курганской области на 2019 — 2025 годы"
Номер опубликования: 4500201904050001
Дата опубликования: 05.04.2019
Страница №16 из 22:
Увеличить