Официальное опубликование правовых актов
ОФИЦИАЛЬНОЕ ОПУБЛИКОВАНИЕ
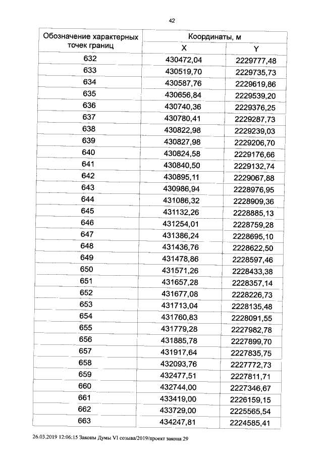
Закон Курганской области от 28.03.2019 № 35
"Об установлении границ муниципального образования Шумихинского района Курганской области"
Номер опубликования: 4500201904020001
Дата опубликования: 02.04.2019
Страница №42 из 49:
Увеличить