Официальное опубликование правовых актов
ОФИЦИАЛЬНОЕ ОПУБЛИКОВАНИЕ
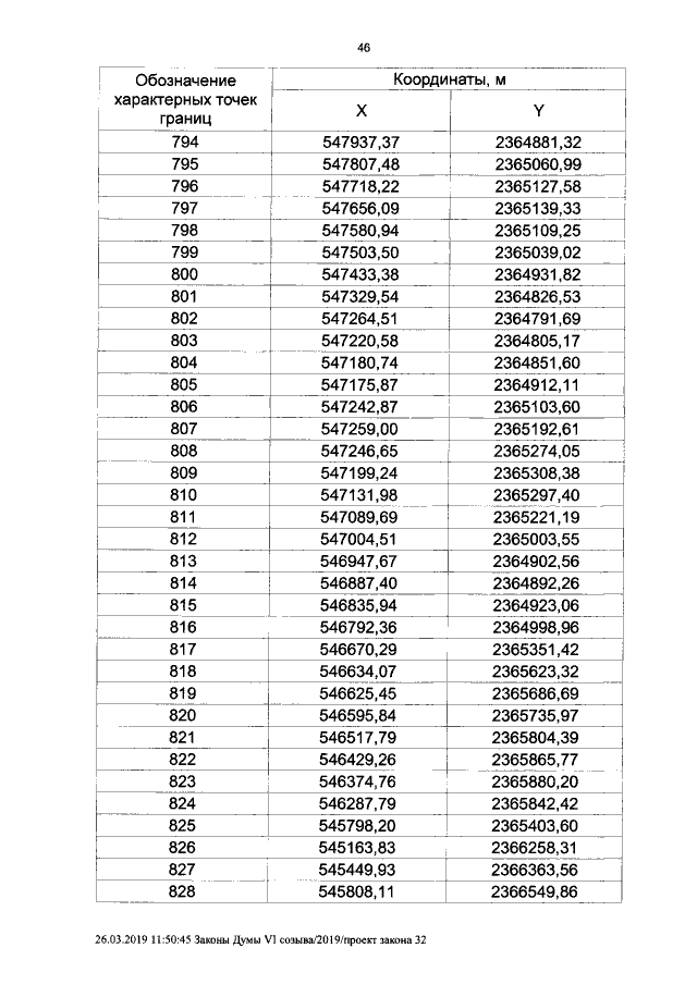
Закон Курганской области от 28.03.2019 № 30
"Об установлении границ муниципального образования Шатровского района Курганской области"
Номер опубликования: 4500201904010011
Дата опубликования: 01.04.2019
Страница №46 из 66:
Увеличить