Официальное опубликование правовых актов
ОФИЦИАЛЬНОЕ ОПУБЛИКОВАНИЕ
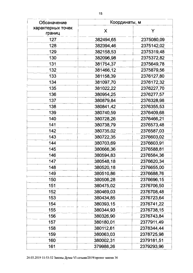
Закон Курганской области от 28.03.2019 № 31
"Об установлении границ муниципального образования Межборного сельсовета Притобольного района Курганской области"
Номер опубликования: 4500201904010010
Дата опубликования: 01.04.2019
Страница №15 из 20:
Увеличить