Официальное опубликование правовых актов
ОФИЦИАЛЬНОЕ ОПУБЛИКОВАНИЕ
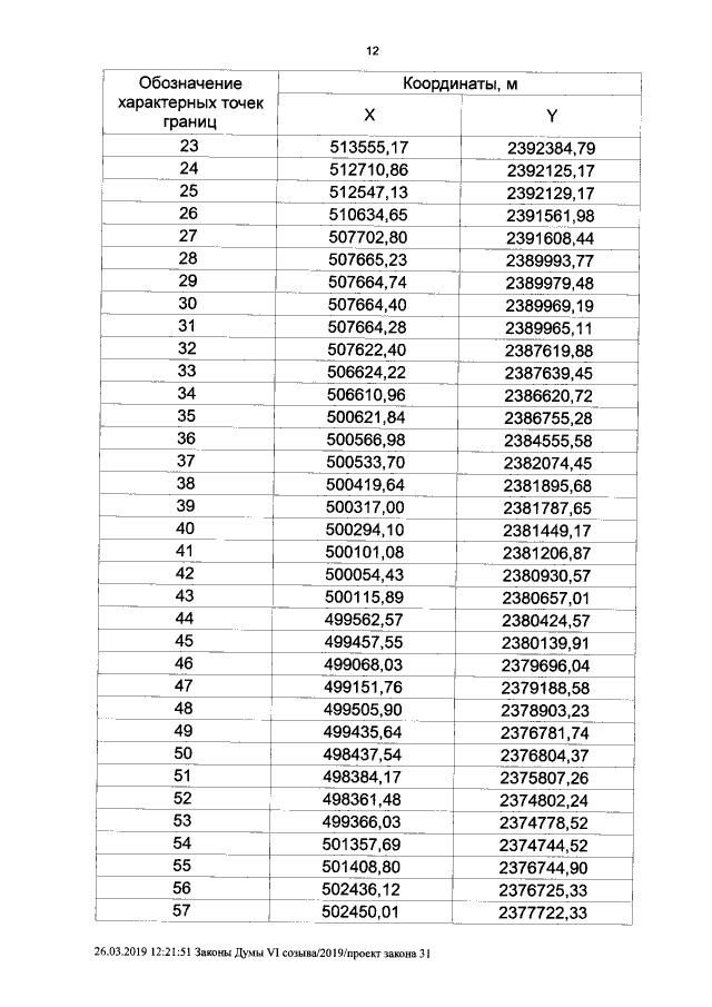
Закон Курганской области от 28.03.2019 № 39
"Об установлении границ муниципального образования Першинского сельсовета Белозерского района Курганской области"
Номер опубликования: 4500201903290009
Дата опубликования: 29.03.2019
Страница №12 из 13:
Увеличить