Официальное опубликование правовых актов
ОФИЦИАЛЬНОЕ ОПУБЛИКОВАНИЕ
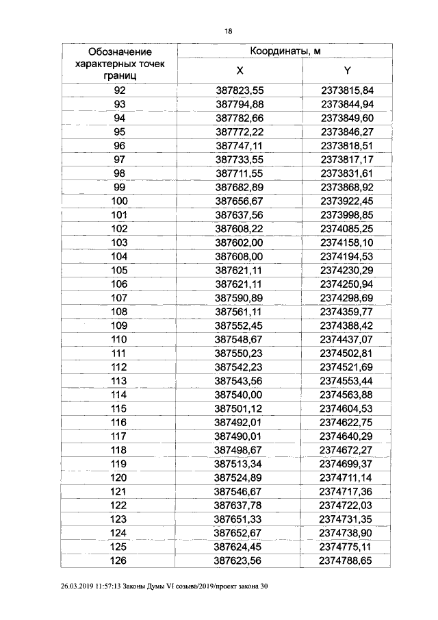
Закон Курганской области от 28.03.2019 № 32
"Об установлении границ муниципального образования Чернавского сельсовета Притобольного района Курганской области"
Номер опубликования: 4500201903290001
Дата опубликования: 29.03.2019
Страница №18 из 43:
Увеличить