Официальное опубликование правовых актов
ОФИЦИАЛЬНОЕ ОПУБЛИКОВАНИЕ
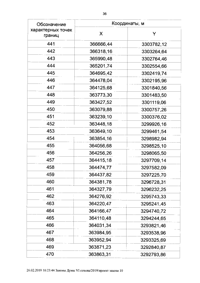
Закон Курганской области от 01.03.2019 № 11
"Об установлении границ муниципального образования Макушинского района Курганской области"
Номер опубликования: 4500201903050005
Дата опубликования: 05.03.2019
Страница №36 из 46:
Увеличить