Официальное опубликование правовых актов
ОФИЦИАЛЬНОЕ ОПУБЛИКОВАНИЕ
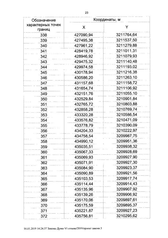
Закон Курганской области от 18.01.2019 № 3
"Об установлении границ муниципального образования Варгашинского поссовета Варгашинского района Курганской области"
Номер опубликования: 4500201901210003
Дата опубликования: 21.01.2019
Страница №23 из 26:
Увеличить