Официальное опубликование правовых актов
ОФИЦИАЛЬНОЕ ОПУБЛИКОВАНИЕ
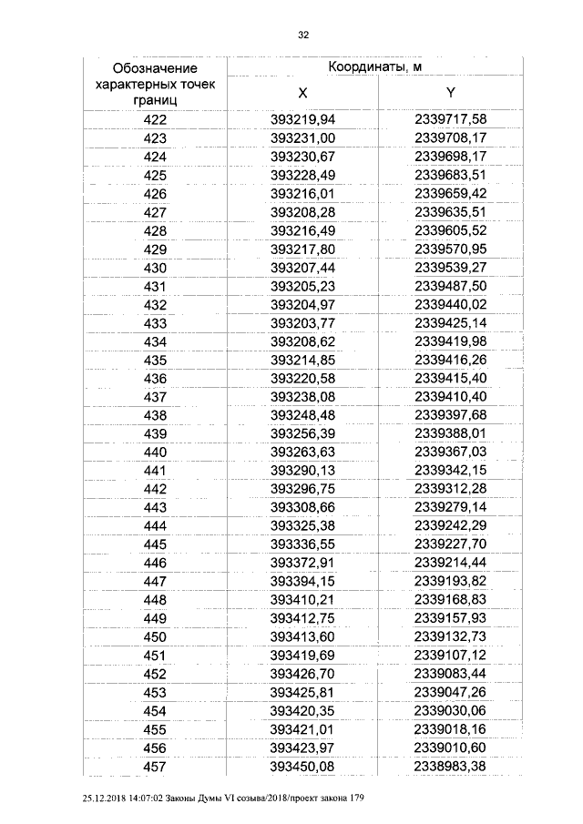
Закон Курганской области от 29.12.2018 № 177
"Об установлении границ муниципального образования Юргамышского района Курганской области"
Номер опубликования: 4500201812290029
Дата опубликования: 29.12.2018
Страница №32 из 42:
Увеличить