Официальное опубликование правовых актов
ОФИЦИАЛЬНОЕ ОПУБЛИКОВАНИЕ
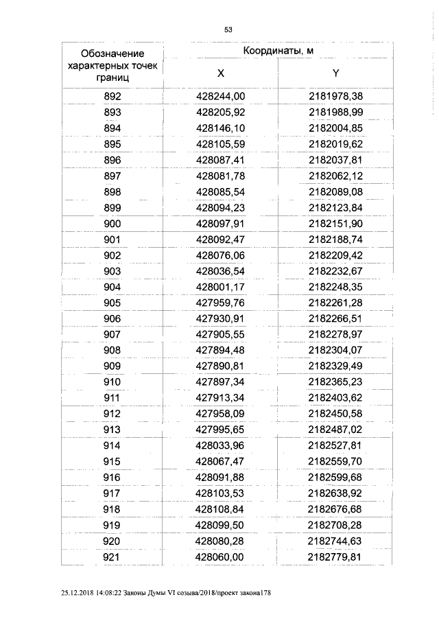
Закон Курганской области от 29.12.2018 № 178
"Об установлении границ муниципального образования Щучанского района Курганской области"
Номер опубликования: 4500201812290021
Дата опубликования: 29.12.2018
Страница №53 из 64:
Увеличить