Официальное опубликование правовых актов
ОФИЦИАЛЬНОЕ ОПУБЛИКОВАНИЕ
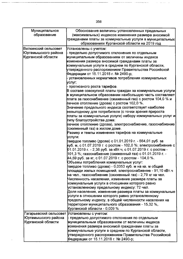
Указ Губернатора Курганской области от 14.12.2018 № 252
"Об утверждении предельных (максимальных) индексов изменения размера вносимой гражданами платы за коммунальные услуги в муниципальных образованиях Курганской области"
Номер опубликования: 4500201812190003
Дата опубликования: 19.12.2018
Страница №356 из 367:
Увеличить