Официальное опубликование правовых актов
ОФИЦИАЛЬНОЕ ОПУБЛИКОВАНИЕ
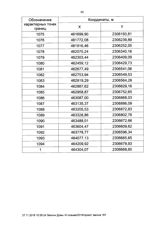
Закон Курганской области от 04.12.2018 № 159
"Об установлении границ муниципального образования Кислянского сельсовета Юргамышского района Курганской области"
Номер опубликования: 4500201812060001
Дата опубликования: 06.12.2018
Страница №53 из 53:
Увеличить