Официальное опубликование правовых актов
ОФИЦИАЛЬНОЕ ОПУБЛИКОВАНИЕ
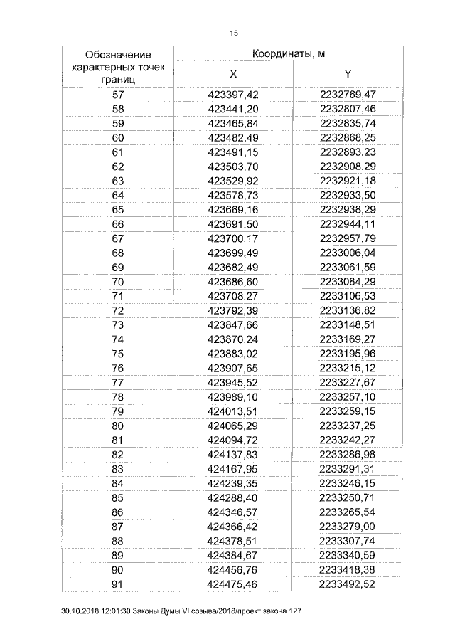
Закон Курганской области от 31.10.2018 № 142
"Об установлении границ муниципального образования Каменского сельсовета Шумихинского района Курганской области"
Номер опубликования: 4500201811020010
Дата опубликования: 02.11.2018
Страница №15 из 22:
Увеличить