Официальное опубликование правовых актов
ОФИЦИАЛЬНОЕ ОПУБЛИКОВАНИЕ
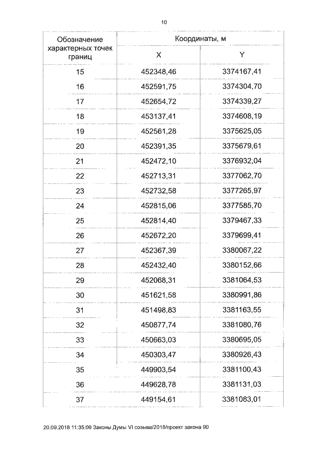
Закон Курганской области от 20.09.2018 № 99
"Об установлении границ муниципального образования Бутыринского сельсовета Частоозерского района Курганской области"
Номер опубликования: 4500201809240014
Дата опубликования: 24.09.2018
Страница №10 из 14:
Увеличить