Официальное опубликование правовых актов
ОФИЦИАЛЬНОЕ ОПУБЛИКОВАНИЕ
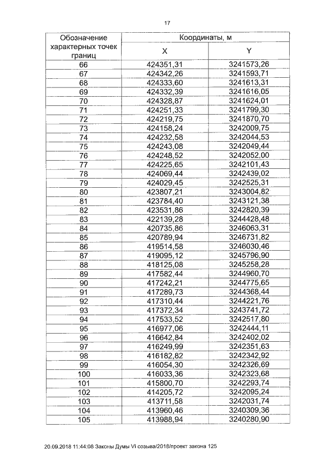
Закон Курганской области от 20.09.2018 № 98
"Об установлении границ муниципального образования Южного сельсовета Варгашинского района Курганской области"
Номер опубликования: 4500201809240006
Дата опубликования: 24.09.2018
Страница №17 из 24:
Увеличить