Официальное опубликование правовых актов
ОФИЦИАЛЬНОЕ ОПУБЛИКОВАНИЕ
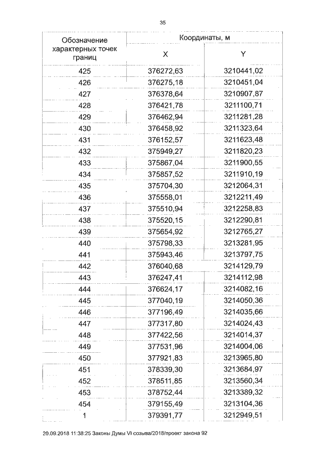
Закон Курганской области от 20.09.2018 № 105
"Об установлении границ муниципального образования Половинского сельсовета Половинского района Курганской области"
Номер опубликования: 4500201809240002
Дата опубликования: 24.09.2018
Страница №35 из 35:
Увеличить