Официальное опубликование правовых актов
ОФИЦИАЛЬНОЕ ОПУБЛИКОВАНИЕ
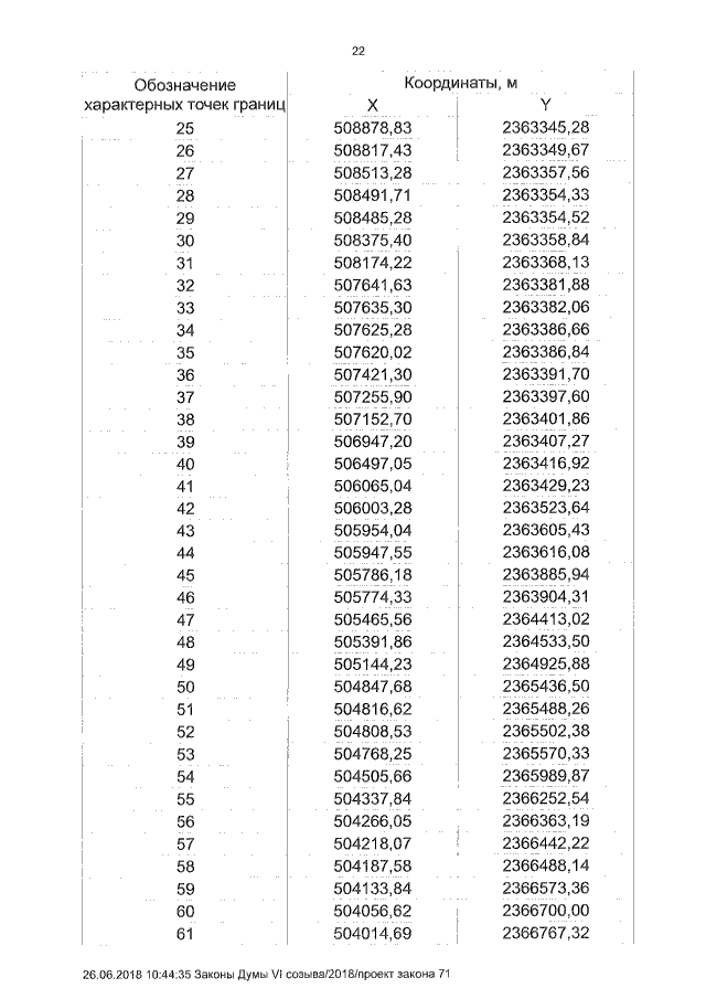
Закон Курганской области от 27.06.2018 № 75
"Об установлении границ муниципального образования Чашинского сельсовета Каргапольского района Курганской области"
Номер опубликования: 4500201806290016
Дата опубликования: 29.06.2018
Страница №22 из 41:
Увеличить