Официальное опубликование правовых актов
ОФИЦИАЛЬНОЕ ОПУБЛИКОВАНИЕ
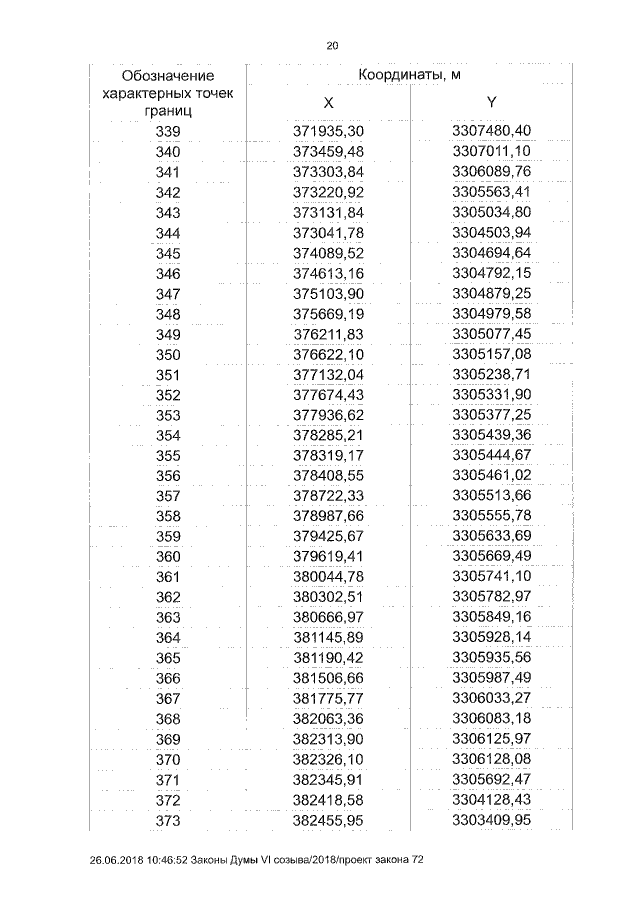
Закон Курганской области от 27.06.2018 № 76
"Об установлении границ муниципального образования Чебаковского сельсовета Макушинского района Курганской области"
Номер опубликования: 4500201806290014
Дата опубликования: 29.06.2018
Страница №20 из 22:
Увеличить