Официальное опубликование правовых актов
ОФИЦИАЛЬНОЕ ОПУБЛИКОВАНИЕ
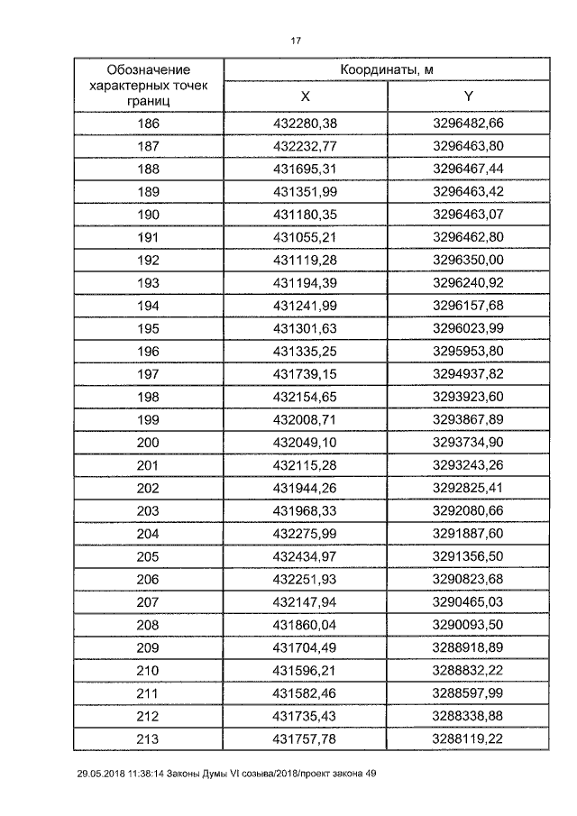
Закон Курганской области от 30.05.2018 № 56
"Об установлении границ муниципального образования Елошанского сельсовета Лебяжьевского района Курганской области"
Номер опубликования: 4500201806050015
Дата опубликования: 05.06.2018
Страница №17 из 21:
Увеличить