Официальное опубликование правовых актов
ОФИЦИАЛЬНОЕ ОПУБЛИКОВАНИЕ
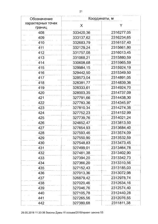
Закон Курганской области от 30.05.2018 № 54
"Об установлении границ муниципального образования Камаганского сельсовета Куртамышского района Курганской области"
Номер опубликования: 4500201806050002
Дата опубликования: 05.06.2018
Страница №21 из 27:
Увеличить