Официальное опубликование правовых актов
ОФИЦИАЛЬНОЕ ОПУБЛИКОВАНИЕ
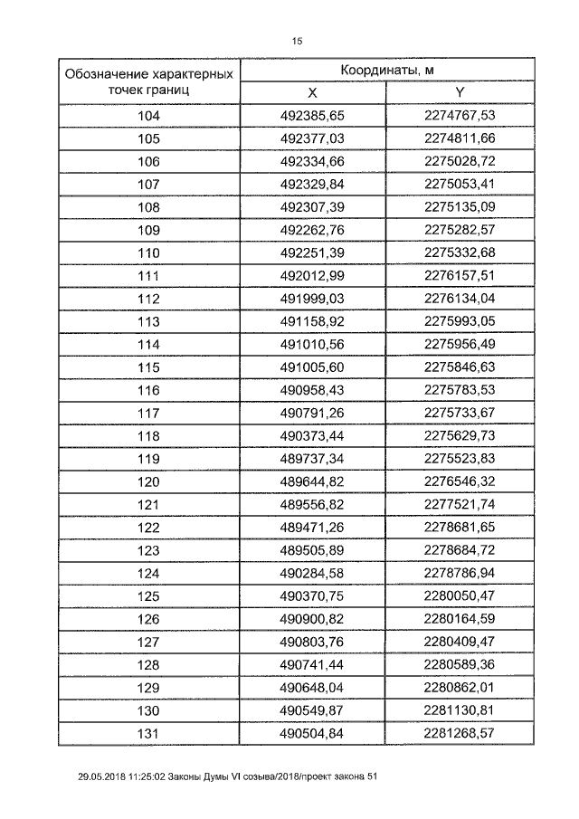
Закон Курганской области от 30.05.2018 № 51
"Об установлении границ муниципального образования Батуринского сельсовета Шадринского района Курганской области"
Номер опубликования: 4500201806040003
Дата опубликования: 04.06.2018
Страница №15 из 21:
Увеличить