Официальное опубликование правовых актов
ОФИЦИАЛЬНОЕ ОПУБЛИКОВАНИЕ
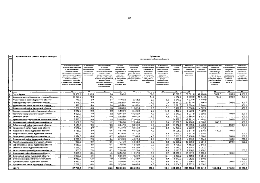
Закон Курганской области от 27.03.2018 № 25
"О внесении изменений в Закон Курганской области "Об областном бюджете на 2018 год и на плановый период 2019 и 2020 годов"
Номер опубликования: 4500201804020003
Дата опубликования: 02.04.2018
Страница №221 из 222:
Увеличить