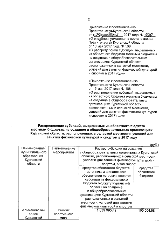
Постановление Правительства Курганской области от 25.12.2017 № 499
"О внесении изменения в постановление Правительства Курганской области от 16 мая 2017 года № 168 "О распределении субсидий, выделяемых из областного бюджета местным бюджетам на создание в общеобразовательных организациях Курганской области, расположенных в сельской местности, условий для занятия физической культурой и спортом в 2017 году"
"О внесении изменения в постановление Правительства Курганской области от 16 мая 2017 года № 168 "О распределении субсидий, выделяемых из областного бюджета местным бюджетам на создание в общеобразовательных организациях Курганской области, расположенных в сельской местности, условий для занятия физической культурой и спортом в 2017 году"
Номер опубликования: 4500201712290004
Дата опубликования:
29.12.2017
