Официальное опубликование правовых актов
ОФИЦИАЛЬНОЕ ОПУБЛИКОВАНИЕ
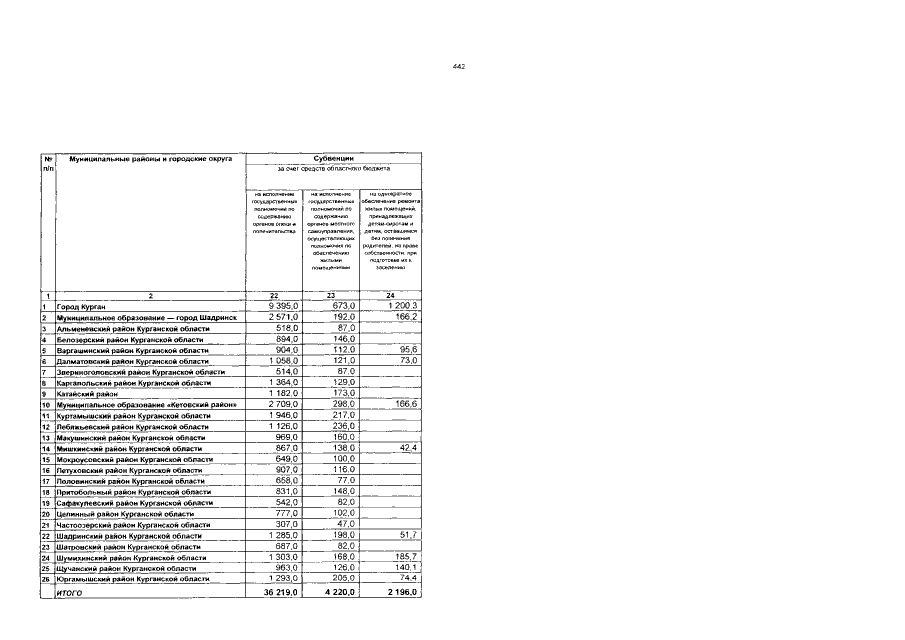
Закон Курганской области от 26.12.2017 № 114
"Об областном бюджете на 2018 год и на плановый период 2019 и 2020 годов"
Номер опубликования: 4500201712280012
Дата опубликования: 28.12.2017
Страница №442 из 447:
Увеличить