Официальное опубликование правовых актов
ОФИЦИАЛЬНОЕ ОПУБЛИКОВАНИЕ
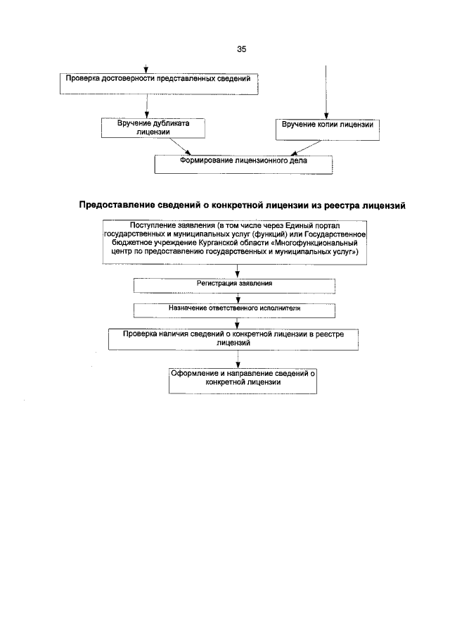
Указ Губернатора Курганской области от 15.12.2017 № 304
"Об утверждении Административного регламента предоставления Департаментом здравоохранения Курганской области государственной услуги по лицензированию медицинской деятельности медицинских организаций, находящихся на территории Курганской области (за исключением медицинских организаций, подведомственных федеральным органам исполнительной власти)"
Номер опубликования: 4500201712210001
Дата опубликования: 21.12.2017
Страница №35 из 35:
Увеличить