Официальное опубликование правовых актов
ОФИЦИАЛЬНОЕ ОПУБЛИКОВАНИЕ
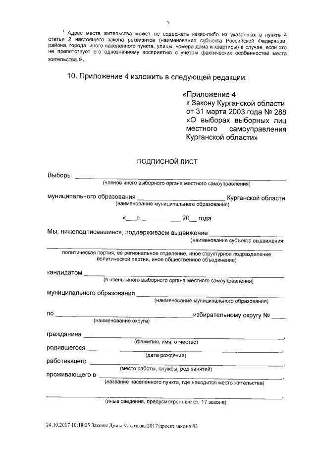
Закон Курганской области от 25.10.2017 № 76
"О внесении изменений в некоторые законы Курганской области"
Номер опубликования: 4500201710270005
Дата опубликования: 27.10.2017
Страница №5 из 13:
Увеличить