Официальное опубликование правовых актов
ОФИЦИАЛЬНОЕ ОПУБЛИКОВАНИЕ
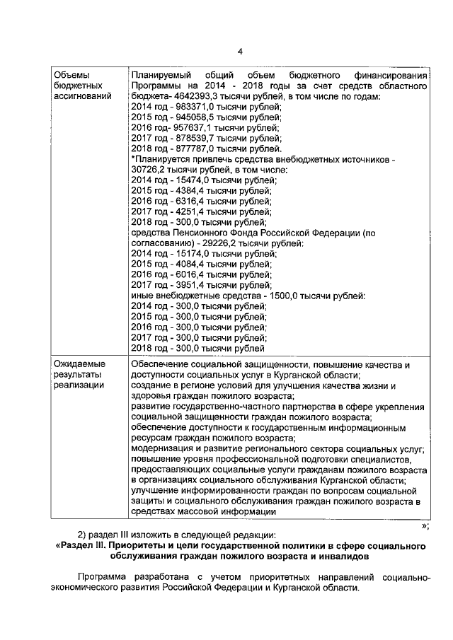
Постановление Правительства Курганской области от 25.07.2017 № 265
"О внесении изменений в постановление Правительства Курганской области от 8 июля 2014 года № 293 "О государственной программе Курганской области "Старшее поколение" на 2014-2018 годы"
Номер опубликования: 4500201707270005
Дата опубликования: 27.07.2017
Страница №4 из 65:
Увеличить