Официальное опубликование правовых актов
ОФИЦИАЛЬНОЕ ОПУБЛИКОВАНИЕ
Постановление Правительства Курганской области от 13.06.2017 № 208
"О внесении изменения в постановление Правительства Курганской области от 14 октября 2013 года № 488 "О государственной программе Курганской области "Защита населения и территорий от чрезвычайных ситуаций, обеспечение пожарной безопасности и безопасности людей на водных объектах"
Номер опубликования: 4500201706190002
Дата опубликования: 19.06.2017
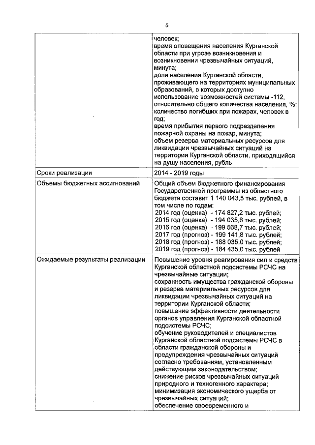
Страница №5 из 76:
Увеличить