Официальное опубликование правовых актов
ОФИЦИАЛЬНОЕ ОПУБЛИКОВАНИЕ
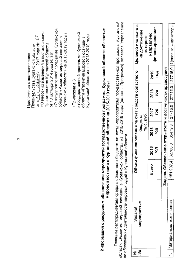
Постановление Правительства Курганской области от 14.03.2017 № 67
"О внесении изменений в постановление Правительства Курганской области от 10 октября 2014 года № 391 "О государственной программе Курганской области "Развитие мировой юстиции в Курганской области" на 2015-2019 годы"
Номер опубликования: 4500201703150003
Дата опубликования: 15.03.2017
Страница №3 из 5:
Увеличить