Официальное опубликование правовых актов
ОФИЦИАЛЬНОЕ ОПУБЛИКОВАНИЕ
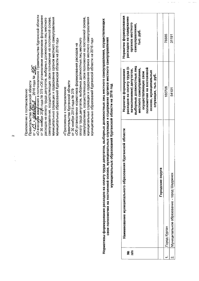
Постановление Правительства Курганской области от 13.12.2016 № 395
"О внесении изменения в постановление Правительства Курганской области от 30 ноября 2015 года № 379 "Об установлении нормативов формирования расходов на оплату труда депутатов, выборных должностных лиц местного самоуправления, осуществляющих свои полномочия на постоянной основе, муниципальных служащих и содержание органов местного самоуправления муниципальных образований Курганской области на 2016 год"
Номер опубликования: 4500201612190018
Дата опубликования: 19.12.2016
Страница №2 из 26:
Увеличить