Официальное опубликование правовых актов
ОФИЦИАЛЬНОЕ ОПУБЛИКОВАНИЕ
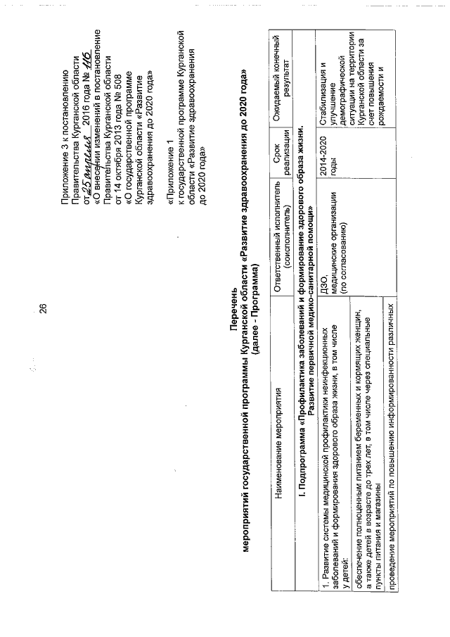
Постановление Правительства Курганской области от 25.04.2016 № 116
"О внесении изменений в постановление Правительства Курганской области от 14 октября 2013 года №508 "О государственной программе Курганской области "Развитие здравоохранения до 2020 года"
Номер опубликования: 4500201604280004
Дата опубликования: 28.04.2016
Страница №26 из 141:
Увеличить