Официальное опубликование правовых актов
ОФИЦИАЛЬНОЕ ОПУБЛИКОВАНИЕ
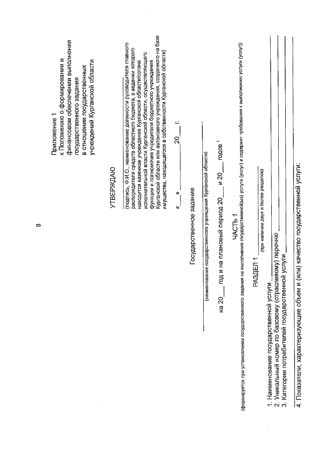
Постановление Правительства Курганской области от 21.12.2015 № 425
"О внесении изменений в постановление Правительства Курганской области от 13 декабря 2010 года № 565 "О порядке формирования государственного задания в отношении государственных учреждений Курганской области и финансового обеспечения выполнения государственного задания"
Номер опубликования: 4500201512240026
Дата опубликования: 24.12.2015
Страница №8 из 15:
Увеличить