Официальное опубликование правовых актов
ОФИЦИАЛЬНОЕ ОПУБЛИКОВАНИЕ
Постановление Правительства Курганской области от 22.09.2015 № 306
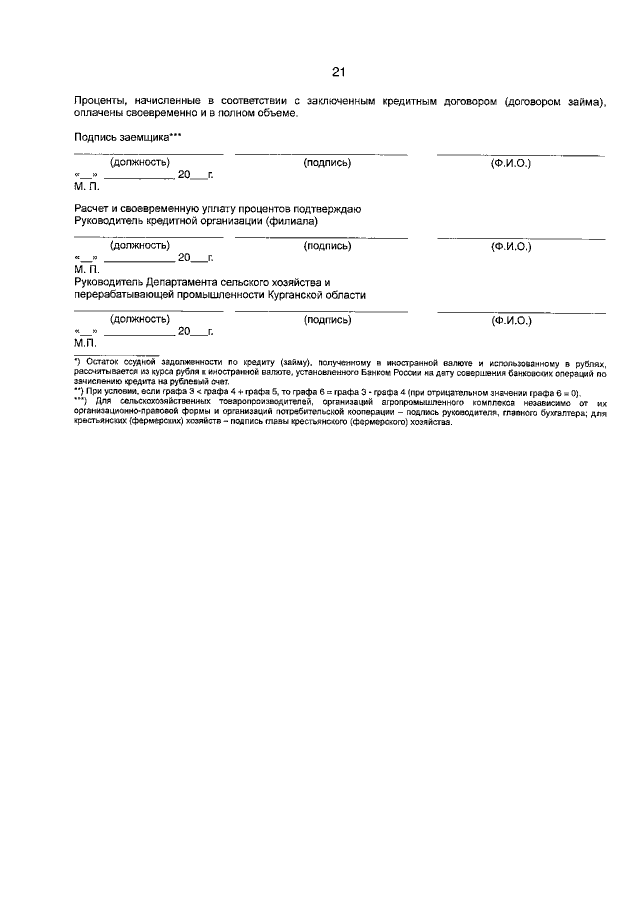
"О внесении изменений в постановление Правительства Курганской области от 17 марта 2014 года № 96 "Об утверждении порядков предоставления субсидий из областного бюджета на возмещение части затрат на уплату процентов по кредитам (займам), полученным сельскохозяйственными товаропроизводителями и организациями агропромышленного комплекса Курганской области"
Номер опубликования: 4500201509230011
Дата опубликования: 23.09.2015
Страница №21 из 93:
Увеличить