Официальное опубликование правовых актов
ОФИЦИАЛЬНОЕ ОПУБЛИКОВАНИЕ
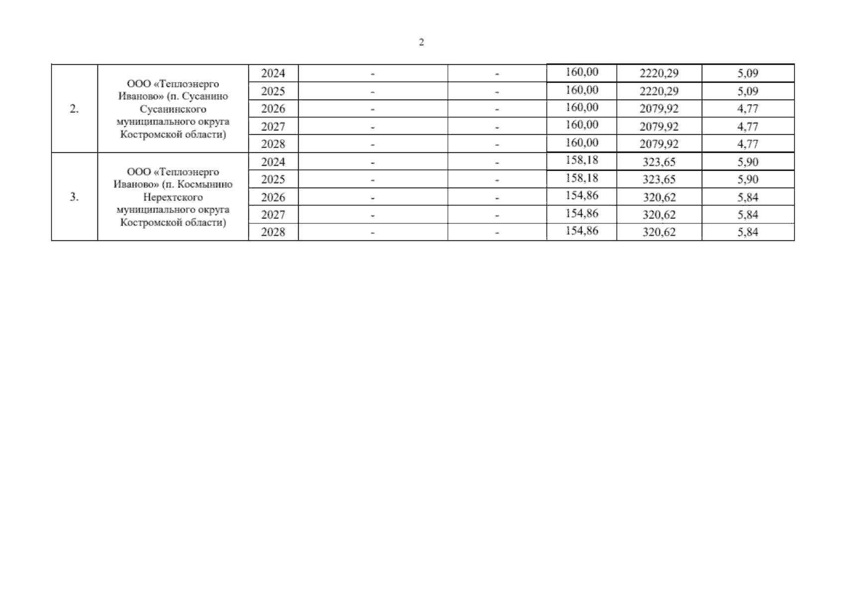
Постановление Департамента государственного регулирования цен и тарифов Костромской области от 16.12.2025 № 25/359
"О внесении изменений в постановление департамента государственного регулирования цен и тарифов Костромской области от 13.12.2023 № 23/461"
(Зарегистрирован 17.12.2025 № 707)
Номер опубликования: 4401202512180025
Дата опубликования: 18.12.2025
Страница №6 из 6:
Увеличить