Официальное опубликование правовых актов
ОФИЦИАЛЬНОЕ ОПУБЛИКОВАНИЕ
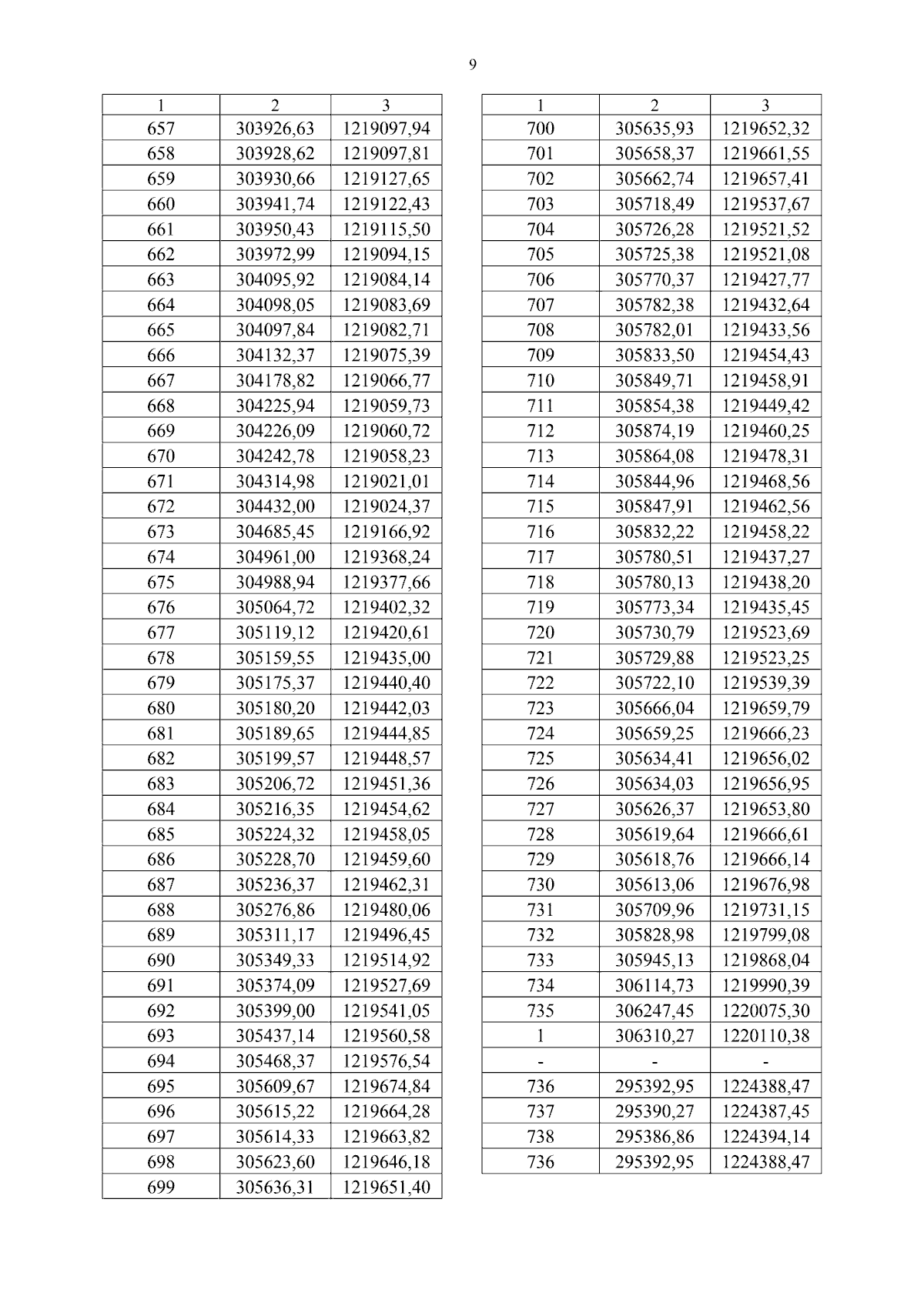
Приказ Департамента имущественных и земельных отношений Костромской области от 14.04.2025 № 52-од
"Об изменении охранной зоны газопровода газораспределительной сети"
(Зарегистрирован 18.04.2025 № 190)
Номер опубликования: 4401202504210003
Дата опубликования: 21.04.2025
Страница №11 из 64:
Увеличить