Официальное опубликование правовых актов
ОФИЦИАЛЬНОЕ ОПУБЛИКОВАНИЕ
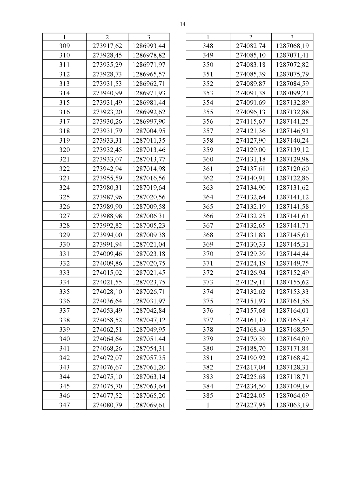
Приказ Департамента имущественных и земельных отношений Костромской области от 25.01.2024 № 13-од
"Об установлении охранных зон газопроводов газораспределительных сетей"
(Зарегистрирован 29.01.2024 № 40)
Номер опубликования: 4401202401300007
Дата опубликования: 30.01.2024
Страница №16 из 53:
Увеличить